Nos encanta ponerte a prueba. Además, los problemas matemáticos son nuestra debilidad. Por ese motivo vamos a retarte y pedirte calcular el número de botellas de aceite que hay.
Aquí el problema:
Hay botellas de aceite de 5 y 2 litros. En total hay 1000 litros y 323 botellas. ¿Cuántas botellas de cada hay?
Planteamiento:
Número de botellas grande: x
Número de botellas pequeña: y
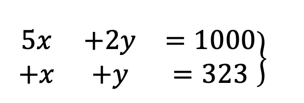
Sistema de ecuaciones:
Primera ecuación:
“En total hay 1000 litros de aceite” Nota: botella grande es de 5 litros y botella pequeña es de 2 litros.
5x+2y=1000
Segunda ecuación:
“Hay en total 323 botellas”
x + y =323

Resolución:

Despejo “x” de la segunda ecuación:
X= 323-y
Sustituyo su valor en la primera:
5.(323-y) +2y= 1000
1615-5y+2y=1000
-3y=1000-1615
-3y=-615
y=-615/-3= 205
Por tanto:
X= 323-y=323-205=118
Solución:
5.(323-y) +2y= 1000 1615-5y+2y=1000 -3y=1000-1615 -3y=-615 y=-615/-3= 205
Número de botellas grande: x=118 Número de botellas pequeña: y=205
En total hay 1000 litros de aceite:
5litros. (118 botellas de aceite grandes) +2litros. ( 205 botellas pequeñas) =1000 litros de aceite.
¿Has sido capaz de resolver el problema de botellas de aceite?
Te puede interesar…
¿Sabes cómo despejar la X de una ecuación?
En la clase de hoy explicaremos cómo despejar la X en una ecuación con distintos ejercicios resueltos paso a paso.

Si tienes cualquier duda sobre problemas de edades con ecuaciones puedes dejar un comentario en el foro de esta misma entrada. De esta manera, otras personas podrán ver la consulta y la solución correspondiente y así contribuimos a compartir juntos.
¡No lo olvides! Síguenos en las redes
Facebook,Twitter,Instagram o YouTube
Nos vemos en la siguiente clase.


0 comments on “Resuelve este problema: Hay botellas de aceite de 5 y 2 litros. En total hay 1000 litros y 323 botellas. ¿Cuántas botellas de cada hay?”